“ . . . I can prove God mathematically using Einstein’s theory of relativity,” the medical doctor declared in the midst of a monologue about how much he loves science because of how much we can learn about God when we study His creation. Oh, really? I thought to myself, with equal curiosity and skepticism. After scrounging together a scrap of paper and pen, our small group watched over as Dr. A. Michael Minotti, our new doctor friend, demonstrated his mathematical proof of God over lunch. While Dr. Minotti’s demonstration may not be perfect and doesn’t necessarily “prove God”, it certainly is a very thought-provoking way of noticing the character of our Creator as displayed in His creation.
“For the invisible things of Him from the creation of the world are clearly seen, being understood by the things that are made, so that they are without excuse” ~ Romans 1:20
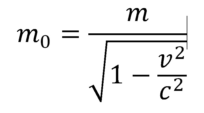
Dr. Minotti’s demonstration is based on fairly simple math calculations and some Biblical principles. Jesus said, “I am the Light of the world” (John 8:12). In a number of places throughout the Bible, it mentions that God is the ultimate source of light. Let’s try to apply this by mathematically solving for the “mass” of God (i.e., how big God is):
In this equation “m0” is the “mass of God” that we’re trying to find. The “m” is irrelevant for this calculation. The ”v” stands for the velocity (speed and direction) of God and “c” is the constant number for the speed of light. Well, if God is light, then the velocity of God would be the speed of light (theoretically, for our calculation at least). That would mean that “v” is the same as “c” , which means that “v squared over c squared” is really just “c squared over c squared”. In math, any time you have a fraction with the same number on the bottom and the top (anything divided by itself), it is equal to 1. Simply put, if you have two halves of something, you must have a whole. So the v-squared over c-squared just equals one. Doing the part under the square root first, with the 1 minus the fraction, we find that it is the square root of one minus one. One minus one is zero, and the square root of zero is zero. Any time you have a fraction with a zero on bottom, the number is undefined (see the whole problem worked out below). The physical size of God is undefined – you can’t measure God!
Now that we’ve solved for the mass of God, we can also solve for the time of God – His age. Notice that the formula for time (below) looks just like the formula for mass, only with “t”s replacing our “m”s. We know that if you use the speed of light for the velocity of God (because God is light), our results are “UNDEFINED”. So, time is undefined for God – He is timeless! That certainly reminds me of some of the things I’ve read about God in the Bible.
So far, we’ve figured out that both the mass and time of God are mathematically undefined (that involves infinity). There a third equation that Dr. Minotti showed us is my favorite – it’s the formula for distance. What is the distance of God? How far away is He? Just like we did in the previous two formulas, using the speed of light for the velocity of God, we get zero under our square root. Anything multiplied by zero is equal to zero. So the distance of God, or “L0” is zero (full calculation below). That means that God’s distance from any point in space or time is zero. He is there. He is here. His distance from YOU is zero. God is ever-present.
Do you see it? Our Creator left fingerprints of His character in physics. God is light. He is beyond physical measure. Our Lord is beyond time. There is NO distance between the Creator and His Creation. He is ever-present with you. God is not just our Creator, but He also wants a personal intimate relationship with each and every one of us. You cannot run from God. God is with you. When trouble comes, choose to acknowledge that He is the Lord your Creator and He is with you. As long as He is with you, you do not have to fear, and can face whatever may come.
“For I am persuaded, that neither death, nor life, nor angels, nor principalities, nor powers, nor things present, nor things to come, nor height, nor depth, nor any other creature shall be able to separate us from the love of God, which is in Christ Jesus our Lord” ~ Romans 8:38-39
Copyright Sara J. Bruegel, February 2016
***Special thank you to Dr. A. Michael Minotti for showing me this demonstration in Tuscon, Arizona, on February 3rd, 2016. Thank you also, to Dr. Minotti, for giving his permission to write about it.***





HI Sara. Even having been present during this impromptu presentation, I’m still wrapping my head around the math. However, I believe that God’s imprint is evident in all of creation. What Dr Minotti has done for us is boil it down and made it so clear and undeniable. I, for one am glad to have been there that day.
Thanks for writing your article.
Glenn Schellenberg
Good to hear from you Glenn! While the formulas themselves are common physics, the idea of the “velocity of God” is a little on the edge. I absolutely agree that God’s imprint is EVERYWHERE! Great meeting you in Tuscon.
God bless!
Sara